首页
伽马函数考研会考吗
返回

伽马函数考研会考吗

2023-08-24 精选百科 By:佚名
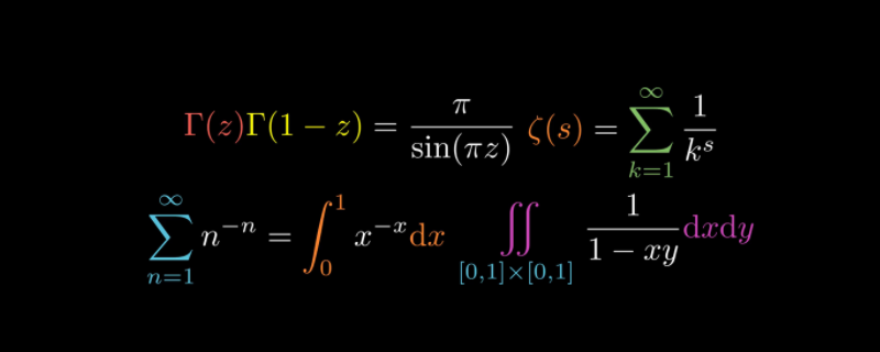
最佳答案伽马函数考研会考。考研数学中,伽马函数是一个常见的数学工具,因此考研会考察伽马函数的相关知识。伽玛函数也叫欧拉第二积分,是阶乘函数在实数与复数上扩展的一类函数。该函数在分析学、概率论、偏微分方程和组合数学中有重要的应用。与之有密切联系的函数是贝塔函数,也叫第一类欧拉积分,可以...

伽马函数考研会考。考研数学中,伽马函数是一个常见的数学工具,因此考研会考察伽马函数的相关知识。伽玛函数也叫欧拉第二积分,是阶乘函数在实数与复数上扩展的一类函数。该函数在分析学、概率论、偏微分方程和组合数学中有重要的应用。与之有密切联系的函数是贝塔函数,也叫第一类欧拉积分,可以用来快速计算同伽马函数形式相类似的积分。

猜你喜欢
2022年8月13日是什么日子(老黄历宜忌查询)

2022年8月13日是什么日子(老黄历宜忌查询)

01-16 0 阅读
司机加入万顺叫车需要什么条件?

司机加入万顺叫车需要什么条件?

12-11 0 阅读
僧伽(关于僧伽的基本详情介绍)

僧伽(关于僧伽的基本详情介绍)

01-01 0 阅读
你好,问十万元诉讼费是多少钱?

你好,问十万元诉讼费是多少钱?

11-01 0 阅读
隐藏表格怎么全部显示出来

隐藏表格怎么全部显示出来

12-20 0 阅读
分手歌曲大全100首歌名(分手歌曲大全100首)

分手歌曲大全100首歌名(分手歌曲大全100首)

01-03 0 阅读
热门推荐
更换主车电瓶需要花钱吗?现在发现电瓶只有一半的电量了。

更换主车电瓶需要花钱吗?现在发现电瓶只有一半的电量了。

12-11 0 阅读
嗒嘀嗒的歌词(嘀嗒的歌词)

嗒嘀嗒的歌词(嘀嗒的歌词)

01-03 0 阅读
明万历白地青花瓷大罈(关于明万历白地青花瓷大罈的简介)

明万历白地青花瓷大罈(关于明万历白地青花瓷大罈的简介)

12-30 0 阅读
实践单位评价怎么写

实践单位评价怎么写

07-26 0 阅读
水泵种类

水泵种类

07-22 0 阅读
斯科特·奥林克(关于斯科特·奥林克的简介)

斯科特·奥林克(关于斯科特·奥林克的简介)

12-30 0 阅读
曹罡(关于曹罡的简介)

曹罡(关于曹罡的简介)

12-30 0 阅读
打错钱了   Q币   能退回来吗

打错钱了 Q币 能退回来吗

11-01 0 阅读
丁宁(关于丁宁的基本详情介绍)

丁宁(关于丁宁的基本详情介绍)

12-31 0 阅读
晋是哪个省的简称(关于晋是哪个省的简称的基本详情介绍)

晋是哪个省的简称(关于晋是哪个省的简称的基本详情介绍)

12-31 0 阅读